涨知识,核酸科普来啦!
一场突如其来的疫情,让核酸、抗原、PCR、cT 值等等这些本来专业度极高的名词逐步进入了大众视野。今天,小编就为大家科普一下:新冠检测的那些事。
PCR 核酸检测到底是什么东东?
PCR (Polymerase Chain Reaction,聚合酶链式反应) 技术是一项伟大的发明,没有 PCR 技术的发明,就没有现代分子生物学。PCR 技术将生物学划分为了两个时代:PCR 前时代和 PCR 后时代。PCR 技术之父穆利斯(Kary Mullis)也因此获得了 1993 年诺贝尔化学奖。PCR 技术也彻底改变了遗传学、医学、法医学等多个学科,让人类才得以开展基因检测、病毒感染鉴定、遗传筛查等等重大举措。
简单来说,PCR 核酸检测就是把核酸按指数级放大直至能被机器检测识别到。核酸很小,一个核酸肉眼无法看到,但如果把核酸放大,1 个变 2 个,2 个变 4 个,4 个变 8 个,当变到足够多数量时,很大一群核酸就能被检测到。因此PCR技术就是把核酸扩增的手段。
什么是核酸阳性和阴性?
在核酸检测中,通常用阴性和阳性来表示结果。阳性代表着检测到病毒,阴性则代表正常。当然所有的事情都不可能如此简单的一分为二,此时就出现一个问题:病毒的载量有多有少,如何来衡量检测到病毒,多少病毒的时候又会引起人们发病。
答案是通过 CT 值。
C 是 cycle, T 是 threshold,CT 值代表 PCR 的循环数。前面已经提到 PCR 技术是将病毒的核酸进行指数扩增,一个拷贝变两个、两个变四个、四个变八个等等,直到能被仪器检测到。如果 ct 值为 40,那就表示当所检测的该病毒的核酸被放大了 2 的 40 次方后,它能被被仪器检测到。
所以 ct 值越小,说明不用放大多少倍就能检测到病毒,这代表病毒浓度越高,越容易被检测到。反之,如果 ct 值越高,代表病毒含量较少。《新型冠状病毒肺炎诊疗方案(试行第九版)》提到,处于恢复期的感染者在核酸 ct 值 ≥ 35时,样本中未能分离出病毒,密切接触者未发现被感染的情况。
不同的核酸检测机构做出来的结果会一致么?
PCR 核酸检测有严格的标准化流程,这个标准化流程是经过全世界各地科学家大量的研究优化制定的,是同一份 SOP(Standard Operation Protocol)。同时所有的核酸实验室,不论大小,都要沿用同样的技术要求,实验室的布局建设软装硬装也有统一规范。就连实验室检测工作人员也要经过标准规范的技术培训,获得国家认可的上岗证书才得以开展工作。这就好比 KFC 的炸鸡都是用的同一个配方,不论是车站的快捷小窗口还是市中心宽敞舒适的堂食,或是宅急送,你总是能吃到同一个味道的炸鸡,不用担心会踩雷。
因此,不论核酸检测是在哪个机构完成,其结果都应该是一致的。
为什么初筛阳性要重新采样进行复核?
新冠核酸检测必须经过两个流程:首先是检测机构的第一次检测(初筛),如果是阳性结果,那么该人员就被成为初筛阳性人员。第二步所有初筛阳性样本都需要由更高资质的机构进行复采复核,确保每一个结果都准确无误。
经过重新采样、重复检测后,有可能判定为新冠核酸阳性,也有可能复测结果是阴性,“可疑样本”被排除。一般可疑样本有两种可能性:一是 CT 位于灰区,二是病毒的某个单靶标基因因为某种意外情况显现阳性。
而在发生初筛阳性人员时就启动应急处置,是为了充分利用接报后黄金4小时的应急处置时间,全链条精准防控,快速处置,尽可能把疫情控制在萌芽状态。
为什么有的人鼻拭子阳?咽拭子阴?甚至还要测肛拭子?
由于新冠病毒是经呼吸道传播,因此采集不同部位的标本有不同的临床意义,除了人们熟知的鼻拭子和咽拭子,其实还有痰液、血液和肛拭子等也可进行采集:
鼻拭子和咽拭子——上呼吸道标本
痰液——下呼吸道标本
肛拭子——消化道标本
血液——抗体检测标本
上呼吸道标本(鼻咽拭子、口咽拭子)病毒载量在临床症状初期 1-3 天较高,一周后开始缓慢下降,下呼吸道标本(痰液)中的病毒载量通常在发病后 2 周内达到高峰,且病毒载量高于上呼吸道样本,粪便样本中病毒载量通常在发病后 2-3 周达到顶峰,总体载量低于痰液样本,血清中抗体在一周以后可检测到,同时还可以判断过往是否发生过感染。
因此最近出现的病例中提到患者有感染症状,但呼吸道标本新冠核酸阴性时,可进行多点多部位多次采集。
比如,新英格兰医学杂志(New England Journal of Medicine)最近发表了一篇文章,描述了鼻拭子和咽拭子的病毒载量与疾病进展后的关系,揭示了患者出现症状后新冠病毒的病毒载量动态变化,新冠肺炎早期,病毒载量高,随后逐渐降低。
如上所示,鼻拭子样本中的病毒载量要高于咽拭子样本,且高病毒载量出现在疾病早期,即出现症状后 2 天左右,而后逐渐降低。因此有可能出现鼻拭子检测为阳性,而咽拭子检测出阴性结果。
为什么会出现抗原阴核酸阳的情况?
2022 年 2 月 Lancet 上的一篇综述,表示了抗原检测和 RNA 检测是发生在感染的 0~7 天内,抗原检测的灵敏度远低于 RNA 检测,抗原检测只能检测到 105~106 拷贝数,而 RNA 检测可达到的 102~103 拷贝数。抗体检测通常发生在感染后的 7~14 天,检测包括 IgG 和 IgM。
由此可见,当病毒载量少的时候,抗原无法检测到,而换成高灵敏度的 RNA 检测即可检出,这就是为什么抗原阴核酸阳的原因,同时也解释了疾控中心为什么建议抗原和 RNA 检测相互补充。
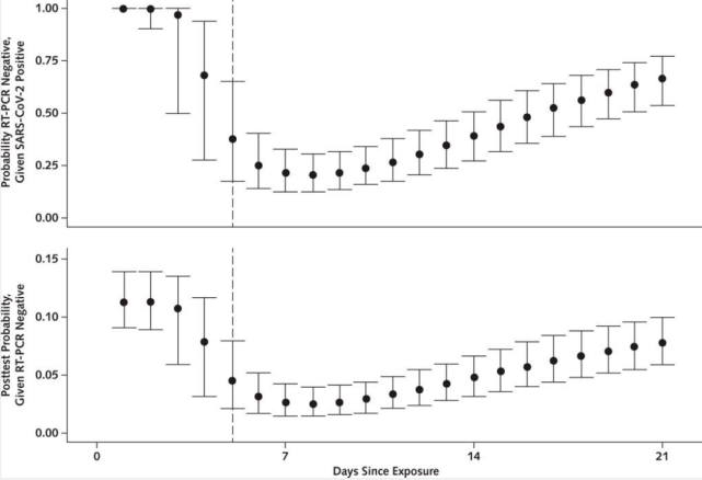
多长时间会出现阳转阴?
最快 3 天,一般在 7 天,最晚不超过14 天
根据美国约翰霍普金斯大学的研究人员最近发表在《内科年鉴》上的一项研究发现,通常在出现症状的前几天,得到假阴性结果的概率可以从第一天的 100% 到第四天的 67% 不等。症状开始显现后,假阴性结果发生率在第 5 天下降到 38%,第 8 天下降到 20%,但此后每天又开始上升。换言之,阳性患者可能最快在第四天即开始出现阴性,根据个人体质、免疫系统及疫苗等综合情况,各自转阴时间不一定,但基本在一周内会转阴。
图
| 感染新冠后可能核酸检测结果为阴性的概率(上)和核酸检测结果为阴性后感染新冠的概率(下),按暴露后的天数计算;CT 值随时间变化曲线图(来源:New England Journal of Medicine)
转阴的影响因素复杂,综合自身免疫系统、是否有基础疾病、疫苗情况等等,其中免疫系统就像是人体的护卫军,当免疫力强的时候,病毒就弱,可能很快就会痊愈,也许睡了一觉起来就阳转阴;而当免疫力弱的时候,病毒就强,需要一段时间的恢复。
也正是因为这种病毒和免疫系统的复杂拉锯战,所以才需要定期密集采样检测,起到实时监测病情的进展的效果。
哪些因素可能会影响核酸检测结果?
病毒载量:综上所述,病毒载量较低时,可能会发生无法检测到病毒的情况。
冠状病毒有可能发生变异,也可能会在未来进一步影响检测的准确性。因为这些测试是在流行病早期开发的,而病毒会随着时间的推移而变异,可能会导致测试结果不匹配。
采样方法:在最近报道的真实采样场景中,很多被采者反馈拭子只是在口腔中左右旋转,感觉只沾到了口水,并没有抵达舌腭弓,被采者也未出现恶心和反射性保护动作,这种采样大概率没有采到呼吸道脱落细胞,因此容易出现漏检,造成假阴性结果。
标本质量:标本采集后的保存、运输和信息登记等环节至关重要。某一环节处理不当均会造成假阳性或假阴性结果。因此标本采集后应密封贴码后,用生物安全转运箱送至核酸检测实验室,注意避免标本的倾倒漏洒。信息登记应改进流程,减少人工登记误差,多采用计算机读取信息技术。
试剂灵敏度:试剂的灵敏度和病毒载量及病毒检出率密切相关。当病毒载量低的时候,若试剂盒灵敏度不够,容易出现假阴性,造成漏检,而当换一个高灵敏度的试剂盒时,则出现了所谓的“阴转阳”,但其实只是更高的灵敏度试剂盒检出了低病毒载量。因此结合上述提到的病毒载量随时间进程变化,应注意采样的时间,以及选择合适的试剂盒,同时要定期监测病毒载量变化。
实验室污染:上述已介绍过在实验过程中,会搭配两种阳性质控来保证实验结果的可靠性。但如果阳性质控暴露造成实验室污染,则会出现假阳性。所以实验过程中一定要进行严格的质控实验,随时监测阴性质控和阳性质控的变化,以此来及时发现实验室污染而采取必要的消杀措施。
人类和病毒的战争从未停止,面对像新冠这类新出现的而且容易变异的病毒,即使有再先进的医学技术,也往往需要时间和经验的不断积累才能渐渐得窥全貌。相信和尊重科学,保持求知探索,同时给予医护工作者和科学家们充分的支持和耐心,是我们每个人的责任。
-End-
参考:
1、Presence of mismatches between diagnostic PCR assays and coronavirusSARS-CoV-2 genome.https://doi.org/10.1098/rsos.200636
2、Lauren M. Kucirka etc, Variation in False-Negative Rate of ReverseTranscriptase Polymerase Chain Reaction–Based SARS-CoV-2 Tests by Time SinceExposure, Annals of InternalMedicine, Aug, 2020
3、SARS-CoV-2 Viral Load in Upper Respiratory Specimens of Infected Patients,Lirong Zou, Feng Ruan, N Engl J Med. 2020 Mar 19; 382(12): 1177–1179. doi:10.1056/NEJMc2001737
4、Rosanna W Peeling, David L Heymann, Yik-Ying Teo, Patricia J Garcia,Diagnostics for COVID-19: moving from pandemic response to control,Lancet 2022;399: 757–68
(编辑:)
(免 责声明:本站文章和信息来源于互联网,系网络转载,转载出于传递更多信息和学习之目的,并不 代表 本网赞同其观点或证实其内容的真实性。如转载文章涉及作品内容、版权等问题,请立 即与本网站联系,我们将在第一时间删除内容!)
- 上一篇:千名体验官测评,富山药品究竟怎么样?
- 下一篇:最后一页
-
{tag_内容页相关信息}
频道精彩推荐
- 保健
- 健身
- 减肥
- 美容
- 整形


